Cycloids for Sv formulas
All stereological formulas
- g2: Grid area
- g2: Grid area
- m: Evaluation interval
: Section cut thickness
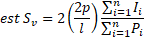
- p/l: Points per unit length of cycloid
- Ii: Intercepts with cycloids
- Pi: Point counts
)
- m: Evaluation interval
: Section cut thickness- a/p: Area associated with each point
- Pi: Point counts
)
- m: Evaluation interval
: Section cut thickness- a/l: Area per unit length
- Ii: Intercepts with cycloids
:Variance due to systematic random sampling- g0, g1, g2: Covariogram values
- Si: Area at section i
(CE (Sv))
- n: Number of measurements
- Ii: Intercepts with cycloids
- Pi: Point counts
References
Baddeley, A. J., Gundersen, H.J.G., & Cruz‐Orive, L.M. (1998) Estimation of surface area from vertical sections. Journal of Microscopy, 142 (3), 259–276.
Howard, C. V., Reed, M.G. (1998). Unbiased Stereology, Three-Dimensional Measurement in Microscopy (pp.170–172). BIOS Scientific Publishers.